Aplicatii numerice, probleme pentru examenul de autorizare electrician ANRE. Contine Aplicatii numerice pentru Grad II A+B de pe site-ul ANRE date la sesiunile anterioare.
Problema 11 – Avem un transformator de forţă trifazat de putere Sn = 10 MVA; tensiunile nominale U1n = 20 kV şi U2n = 6,3 kV. Să se calculeze curentul nomimal primar şi respectiv curentul nominal secundar.

Transformatorul are rolul de a modifica cei doi parametri U si I ai puterii vehiculate. In acest caz, avem un transformator cu o putere de transformare de 10MVA, putere ce trebuie regăsită atât in primar cât si in secundar, acolo unde tensiunea va fi mai mare, vom avea curenți mai mici.. și invers.

Problema 12 – La temperatura mediului ambiant t1 = 150 C, rezistenţa unui bobinaj al unei maşini electrice este R1 = 40 Ω. După o funcţionare mai îndelungată, rezistenţa bobinajului creşte la valoarea R2 = 50 Ω. Să se calculeze temperatura t2 la care a ajuns bobinajul după funcţionare, ştiind că bobinajul este făcut din cupru cu coeficient de temperatură α = 0,004 (1/°C).

Observație: Rezistența electrică a metalelor crește cu temperatura iar a cărbunelui și a lichidelor scade cu cât temperatura lor crește. Rezistența electrică a cuprului crește cu 4% la o încălzire de 10 °C.
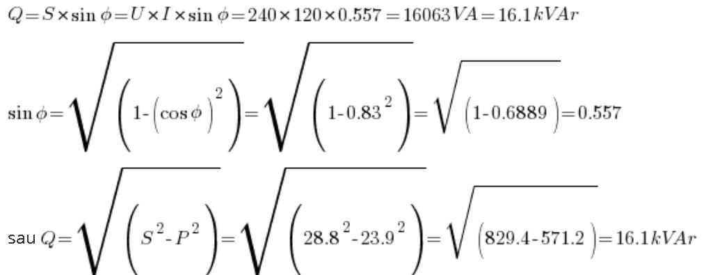
Problema 13 – Un generator de curent alternativ alimentează cu energie electrică un circuit care are cosφ = 0.83. Tensiunea la bornele generatorului este U=240V iar curentul în circuit I=120A. Să se determine puterile generate: aparentă, activă şi reactivă.
Puterea aparenta:
![]()
Puterea activă:
![]()
Puterea reactivă:

Problema 14 – Pe plăcuţa unui electromotor monofazat sunt trecute următoarele date: Pn=2kW, In=5A, cosφn=0,8. Să se determine tensiunea nominală la care lucrează acest electromotor.

Problema 15 – Un fier de călcat electric, alimentat la tensiunea de 230 V funcţionează un timp t = 2 ore şi 45 de minute, consumând în acest timp o energie W = 4.850 kWh. Să se calculeze rezistenţa electrică a acestui fier de călcat.

Problema 16 – Să se calculeze energia electrică activă totală consumată de următoarele receptoare electrice:
- un electromotor de 2 CP care funcţionează un timp t1=60 minute
- o lampă având rezistenţa R = 200Ω, prin care trece un curent I=1A şi funcţionează un timp t2=15 minute
Notă:
1CP = 735,5V, t1=60 minute = 1 h, 2CP = 735,5Vx2 = 1,47 kWh
Electromotorul va consuma o energie electrică activă totală de:

Fierul de călcat va consuma o energie electrică activă totală de:50 W/h
Problema 17 – Pe tabloul de distribuţie al unui consumator sunt montate : un voltmetru, un ampermetru şi un wattmetru, care indică: 220 V, 80 A şi respectiv 14.1 kW. Să se determine factorul de putere, impedanţa, rezistenţa activă şi reactanţa circuitului.
Avem o putere activă de 14.1kW, un curent 80A si un racord monofazat 220V.
Puterea aparentă:
![]()
Factorul de putere:

Impedanța:

Rezistența:
![]()
Reactanța:

Observație ! Când discutam despre curentul alternativ avem următoarea regulă: U = Z x I.
Doar in situația unui circuit pur rezistiv:
![]()
vom avea R = Z, deci U = Z x I = R x I.
Problema 18 – Dintr-un circuit de tensiune U = 230 V se alimentează o lampă cu rezistenţa R1 = 529 Ω şi un fier de călcat electric cu rezistenţa Rfc =100 Ω. Să se determine energia electrică pe care o consumă cele două receptoare, ştiind că ele au funcţionat fără întrerupere timp de o oră şi 45 de minute.

Vom calcula rezistența echivalenta a celor 2 receptoare:


O alta formula pentru calculul rezistenței echivalente a doua rezistențe in paralel:

Puterea celor doua receptoare:


Energia consumată:
![]()
Problema 19 – Ce curent maxim se absoarbe printr-un branşament monofazat de U = 230 V de către o instalaţie electrică dintr-o locuinţă în care sunt instalate : 5 lămpi de câte 100 W, un aparat TV de 30 W şi un frigider de 100 W ? Se precizează că toate receptoarele se consideră rezistive (cosφ=1).
Puterea totala a echipamentelor este de:
![]()

Problema 20 – Să se determine:
a). rezistenţa electrică R a unui conductor de aluminiu cu ρ = 1/32 W mm2/m, cu lungimea l=228m şi diametrul d=6mm;
b) pierderea de energie electrică prin încălzire, dacă prin conductor trece un curent electric I=50A o perioadă de timp t=10 ore.
Notă: Aria unui cerc este dată de formula:
![]()
unde r este raza cercului.

Răspunsul la punctul a):


Răspunsul la punctul b):
![]()

