Aplicatii numerice, probleme pentru examenul de autorizare electrician ANRE. Contine Aplicatii numerice pentru Grad II A+B de pe site-ul ANRE date la sesiunile anterioare.
- Într-un circuit alimentat de un generator de curent alternativ este conectat un receptor care are o rezistenţă activă R = 8 Ω şi o reactanţă X = 6 Ω . Tensiunea la bornele generatorului U = 2000 V. Să se determine puterea aparentă a generatorului şi puterile consumate în circuit (activă şi reactivă).

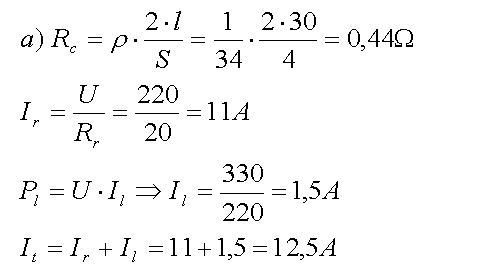
- Un circuit electric monofazat, având lungimea de 30 m şi secţiunea de 4 mm2, din aluminiu cu ρ = 1/34 Ω mm2/m, alimentează la extremitatea lui, cu o tensiune U = 220 V, un radiator cu rezistenţa Rr = 20 Ω şi o lampă cu puterea Pl = 330 W.
Să se calculeze:
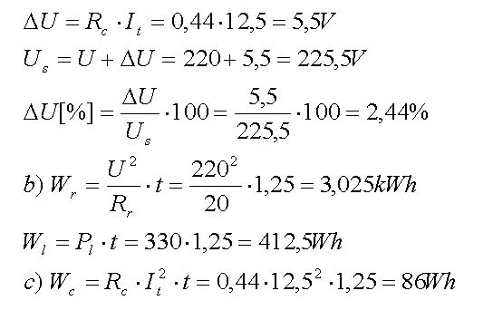
a) pierderea de tensiune din acest circuit, în procente din tensiunea de la capătul dinspre sursă al circuitului;
b) energia consumată de radiator, respectiv de lampă, într-o oră şi 15 minute;
c) pierderea de energie în conductoarele circuitului, în acelaşi interval de timp.

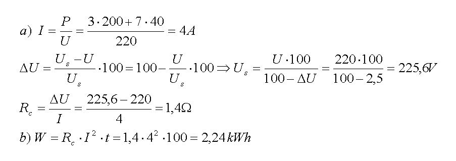
- Dintr-un circuit de iluminat sunt alimentate cu tensiunea de U = 220 V trei lămpi având fiecare P1 = 200 W şi şapte lămpi având fiecare P2 = 40 W. conectate în paralel. Pierderea de tensiune din circuit fiind de 2,5%, să se calculeze:
- rezistenţa electrică a circuitului, Rc;
- pierderea de energie electrică ΔW din circuit într-o perioadă de timp t = 100 ore de funcţionare simultană a lămpilor.

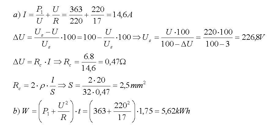
- O lampă electrică cu P1 = 363 W şi un radiator având rezistenţa R = 17 Ω funcţionează în paralel la o tensiune U = 220 V o perioadă de timp t = 105 minute.
Să se afle:
- a) secţiunea circuitului comun din aluminiu cu ρ = 1/32 Ω mm2/m, în lungime de l = 20 m, care alimentează cele două receptoare, considerându-se o pierdere de tensiune pe circuit ΔU = 3%;
- b) energia electrică pe care o consumă cele două receptoare.

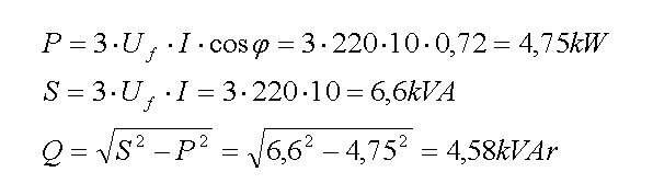
- Un electromotor trifazat ale cărui înfăşurări sunt conectate în stea la o reţea cu tensiunea pe fază Uf = 220 V absoarbe un curent pe fiecare fază I = 10 A. Să se determine puterile activă şi reactivă absorbite de electromotor, acesta funcţionând cu un factor de putere cosj = 0,72.

- Printr-o linie electrică monofazată din aluminiu, având lungimea de 150 m şi alimentată la tensiunea de 230 V va trece un curent neinductiv (cos j = 1) de 30 A. Ce secţiune minimă trebuie să aibă conductoarele liniei, pierderea de tensiune considerându-se de 3% iar r = 1/34 Ω mm2/m.

- Un circuit electric monofazat, în lungime de 40 m şi conductoare de aluminiu cu secţiunea s =2,5 mm2, având la plecarea din tablou U = 230 V, alimentează un receptor cu o rezistenţă neinductivă (cos j = 1) de 5Ω ; se consideră r = 1/32 Ω mm2/m.
Ce curent indică un ampermetru montat în circuit?
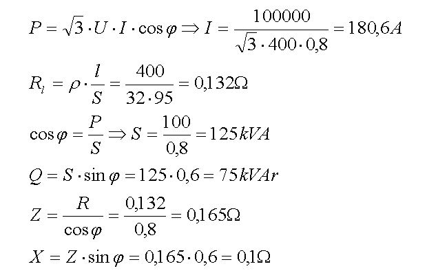
- Printr-o LEA 3×400 V din aluminiu cu rezistivitatea ρ=1/32 Ω mm2/m, de lungime l= 400 m şi având s =95mm2, se transportă o putere electrică P=100 kW sub un factor de putere cosj=0,8.
Să se calculeze, în procente, pierderile de tensiune şi de putere. 

- Să se calculeze secţiunea s a unui circuit cu U = 220 V din aluminiu cu ρ = 1/32 Ω mm2/m având lungimea l = 50 m, pentru alimentarea unui electromotor monofazat de putere nominală PN = 5 CP, 220V, factorul de putere (în regim normal şi la pornire) cosj = 0,8, randamentul h = 0,9, cu pornire directă, admiţând la pornire o pierdere de tensiune ΔUpa = 14% , o densitate a curentului la pornire δpa = 20 A/mm2 şi absorbind la pornire un curent IP = 5IN . În regim permanent de funcţionare se admite o pierdere de tensiune în reţea ΔU = 5%.
Secţiunea calculată se va verifica la:
- încălzirea conductoarelor în regim de funcţionare permanentă.Curentul maxim admisibil în regim de durată I se consideră: 23 A pentru s = 4mm2 , 30A pentru s = 6 mm2 , 41A pentru s = 10mm2
- densitatea curentului la pornire;
- pierderea de tensiune din circuit la pornirea electromotorului.




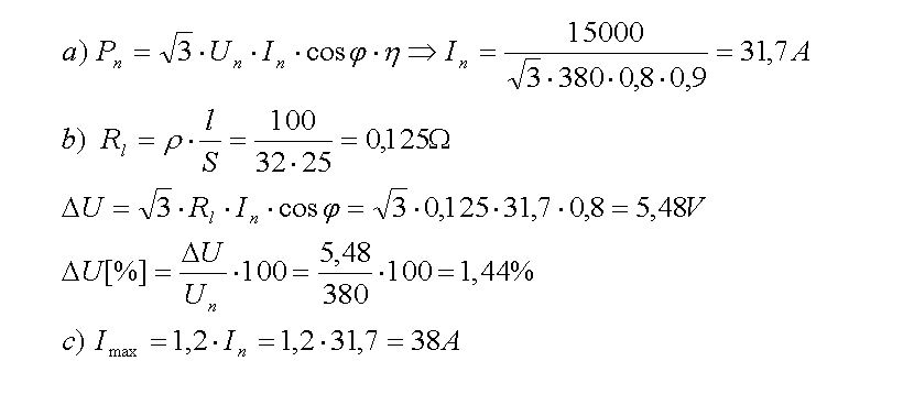
- Un electromotor având puterea nominală Pn= 15 kw, randamentul h = 0,9 şi cos jn = 0,8 este alimentat la tensiunea nominală Un= 3×380 V, printr-o linie electrică trifazată, având lungimea L = 100 m şi conductoare cu secţiunea S=25 mm2 şi r = 1/32 Ω mm2/m. Să se determine:
- curentul electric In absorbit din linie de electromotor;
- pierderea de tensiune din linie până la electromotore
- valoarea maximă a curentului la care poate fi reglat releul termic al întrerupătorului automat al electromotorului, ştiind că, conform normativelor, releul termic poate fi reglat la un curent cuprins între (1,05 – 1,2) In.









