Aplicatii numerice, probleme pentru examenul de autorizare electrician ANRE. Contine Aplicatii numerice pentru Grad II A+B de pe site-ul ANRE date la sesiunile anterioare.
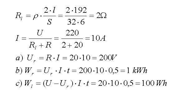
- O linie electrică monofazată, având conductoare de 6 mm2 din aluminiu, alimentează un receptor cu o rezistenţă electrică interioară neinductivă (cos j = 1) R = 20 ohm, situat la o distanţă de 192 m de tabloul de siguranţe. Tensiunea la tablou este de 220 V. Se consideră r = 1/32 ohm mm2/m Să se determine:
a) tensiunea la bornele receptorului;
b) energia electrică consumată numai de receptor în jumătate de oră;
c) energia electrică consumată (pierdută) în conductoarele liniei în acelaşi timp.

- Dintr-un post de transformare al unei fabrici se alimentează, printr-un circuit separat, un reflector aflat la distanţă, care are o rezistenţă ohmică interioară R = 50 ohm. Tensiunea la plecarea circuitului din post este de 230 V, iar pierderea de tensiune din circuit până la reflector este de 10%. Să se determine:
a) consumul propriu lunar de energie al reflectorului, care funcţionează 10 ore/zi, considerându-se o lună de 30 de zile;
b) energia electrică pierdută în conductoarele liniei în aceeaşi perioadă de timp.
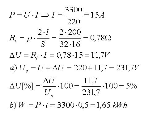
- O linie electrică aeriană monofazată alimentează la capătul ei lămpi cu incandescenţă la tensiunea de 220 V, însumând o putere de 3300 W. Lungimea liniei, având conductoare din aluminiu, este de 200 m, iar secţiunea conductoarelor ei este de 16 mm2; r = 1/32 ohm mm2/m. Să se calculeze:
a) tensiunea liniei la plecarea din tablou şi procentul de pierdere de tensiune pe linie;
b) consumul de energie electrică al lămpilor la o funcţionare de 30 de minute.
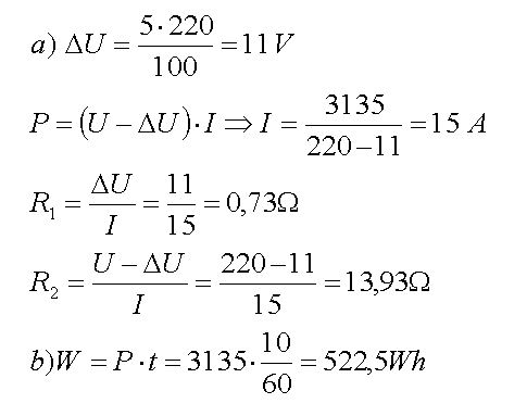
- Un circuit electric este alimentat la plecarea din tablou, la tensiunea de 220 V. La capătul opus este racordat un radiator având 3135 W. Pierderea de tensiune din circuit este de 5%. Să se calculeze:
a) rezistenţa electrică a circuitului conductoarelor (R1) şi separat a radiatorului (R2).
b) Consumul de energie electrică al radiatorului într-un interval de 10 minute.
- Într-un atelier se înlocuieşte un polizor cu un strung. Ştiind că circuitul care alimentează polizorul are 4 conductoare izolate de aluminiu de 2,5 mm2, montate în tub, să se verifice dacă prin acest circuit se poate alimenta strungul şi în caz contrar să se redimensioneze circuitul. Se verifică căderea de tensiune şi densitatea de curent, în regim normal şi la pornirea electromotorului strungului.
Se cunosc: puterea electromotorului strungului: 7 kw, tensiunea de alimentare 380/220 V, cos j = 0,8 (se consideră aceeaşi valoare atât în regim normal cât şi la pornire), randamentul h = 0,9, curentul de pornire IP = 6 Inominal, lungimea circuitului 20 m, r = 1/34 ohm mm2/m, pierderea de tensiune la pornirea electromotorului < 10% , densitatea admisibilă de curent pentru Al, în regim permanent δN = 6 A/mm2, în regim de pornire δp = 20 A/mm2.


- O coloană electrică trifazată (380/220 V) din aluminiu cu rezistivitate r = 1/34 ohm mm2/m, de lungime l = 20m, realizată cu conductoare neizolate, libere în aer, alimentează un tablou de la care pleacă circuite pentru:
- un electromotor trifazat cu puterea PT = 5kW;
- un electromotor monofazat cu puterea PM1 = 4kW;
- două electromotoare monofazate cu puterea PM2 = 2kW fiecare (pe circuite separate);
- 30 lămpi de câte 200 W fiecare, împărţite egal pe cele trei faze (3 circuite).
Pierderea de tensiune admisă în coloană este ΔU=2%. Electromotoarele au randamentul h = 0,9 , factorul de putere ( în regim normal şi la pornire) cosj = 0,8, iar la pornire au Ipornire = 5 Inominal şi admit o pierdere de tensiune Δup = 10%.
Să se determine secţiunea coloanei (ţinând cont de faptul că motoarele monofazate se conecteză fiecare pe câte o fază) şi să se facă verificarea pentru:
- încălzirea conductoarelor în regim de funcţionare permanentă. Curentul maxim admisibil în regim de durată I se consideră: 75 A pentru s = 10 mm2, 105 A pentru s = 16 mm2, 135 A pentru s = 25 mm2 .;
- densitatea curentului la pornire, densitatea maximă admisă fiind δpadm = 20 A/mm2;
pierderea de tensiune din circuit la pornirea electromotorului.






- Să se determine prin calcul secţiunea s a unei coloane electrice trifazate din aluminiu cu rezistivitatea ρ = 1/32 ohm mm2/m în lungime l = 30m, la capătul căreia sunt conectate: un electromotor de 2,5 CP 3x380V şi un electromotor de 2 kW 2×220, ştind că acestea absorb la pornire de trei ori curentul lor nominal, randamentul lor este h = 0,95, factorul de putere (în regim normal şi la pornire) este cosj = 0,9, pierderea de tensiune în coloană este ΔU =3% şi că pierderea maximă de tensiune admisă la pornirea simultană a electromotoarelor este ΔUp =12%.
Secţiunea calculată se va verifica la:
- încălzirea conductoarelor în regim de funcţionare permanentă.Curentul maxim admisibil în regim de durată I se consideră:16 A pentru s = 2,5mm2, 20 A pentru s = 4mm2, 27A pentru s = 6 mm2 ;
- densitatea curentului la pornire, densitatea maximă admisă fiind δpa = 20 A/mm2;
- pierderea de tensiune din circuit la pornirea simultană a electromotoarelor.








Rezultatul era previzibil deoarece avem un consumator trifazat simetric, fara curent de nul, si un consumator bifazat, deasemenea fara curent de nul.
Pe baza curentilor obtinuti vom dimensiona coloana tinand cont de faza cea mai solicitata si calculand caderile de tensiune si densitatile de curent in regim de durata si la pornirea motoarelor.
Calculele le vom face raportandu-ne la tensiunea de faza si nu de linie.


Motorul monofazat este de 1x220V si se racordeaza intre o faza si neutru. Refacem calculele in aceste conditii.




- O coloană electrică de 380/220 V de aluminiu în lungime de 25 m alimentează un tablou secundar de la care pleacă circuite pentru:
- un electromotor trifazat de 4 kw
- un electromotor monofazat de 2 kw
- 20 de lămpi de câte 100 W fiecare.
Electromotoarele au pornire directă şi absorb la pornire de şase ori curentul nominal In. Pierderea de tensiune admisă în coloană este de 2%, iar la pornirea electromotoarelor maximum 10%; conductibilitatea g = 34, cos j = 0,7(se consideră aceeaşi valoare atât în regim normal cât şi la pornire) şi h = 0,9, Curentul maxim admisibil în regim permanent, pentru conductoare de Al cu secţiunea de 6 mm2 este 30 A, iar densitatea admisibilă de curent pentru Al, în regim de pornire δp = 20 A/mm2. Ţinându-se seama de încărcarea echilibrată a fazelor şi de un mers simultan la plină sarcină a tuturor receptoarelor, să se determine secţiunea coloanei. Se va face verificarea la densitate de curent în regim de pornire şi la cădere de tensiune.
Indicaţii
Pentru echilibrarea sarcinilor pe cele trei faze, electromotorul monofazat se conectează la faza R, cate 10 lămpi se conectează la faza S, respective la faza T. Cea mai încărcată va rezulta, în acest caz, faza R; se va calcula secţiunea coloanei luînd în considerare curentul total din faza R,unde este racordat electromotorul monofazat.
Valorile curentilor in regim de durata sunt:
Neglijam defazajul dintre curentul absorbit de motoare si cel absorbit de lampi.
Valorile curentilor la pornirea motoarelor, considerand si lampile alimentate, sunt:



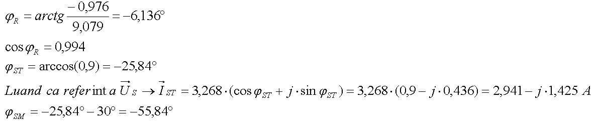
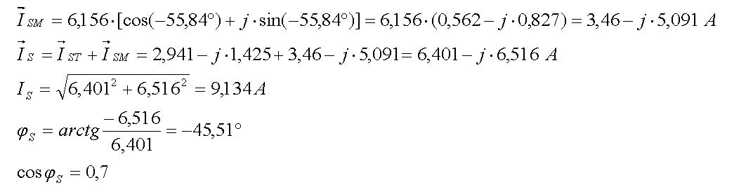
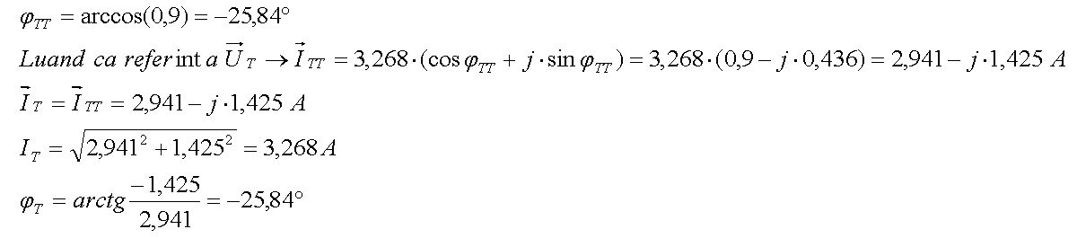
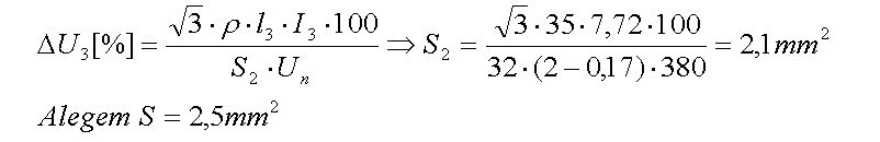
- O coloană electrică de 3×380/220 V cu lungimea l1 = 25 m alimentează un tablou la care sunt racordate:
- un circuit cu lungimea l2 = 30 m care alimentează un electromotor trifazat având puterea Pm =10 kW, cosj=0,9, randamentul h=0,9 şi Ipornire = 6 Inominal ;
- 51 becuri electrice de câte 100 W, la capătul a trei circuite monofazate cu lungimi de câte l3 =35m ( câte 17 becuri alimentate din fiecare circuit).
Conductoarele coloanei şi circuitelor sunt din aluminiu cu rezistivitatea ρ = 1/32 W mm2/m. Să se determine secţiunile conductoarelor pentru fiecare circuit şi pentru coloană, considerându-se pierderile de tensiune:
- pe circuitul electromotorului: 3% în regim normal de funcţionare şi 8% în regim de pornire a electromotorului;
- pe circuitele care alimentează lămpile: 2%;
- pe coloană: 1%.
Secţiunile calculate se vor verifica la:
- încălzirea conductoarelor în regim de funcţionare permanentă.Curentul maxim admisibil în regim de durată I se consideră, pentru circuitele monofazate:18 A pentru s = 2,5mm2, 23 A pentru s = 4mm2, 30A pentru s = 6 mm2, iar pentru circuitele trifazate se consideră: 16 A pentru s = 2,5mm2, 20 A pentru s = 4 mm2, 27A pentru s = 6 mm2;
- densitatea curentului la pornire, densitatea maximă admisă fiind δpa = 20 A/mm2;
- pierderea de tensiune din circuit la pornirea electromotorului.

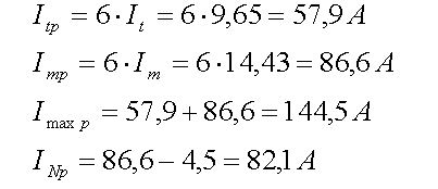
Calculam sectiunea coloanei la pornirea electromotorului
Verificam sectiunea coloanei la densitatea de curent la pornirea electromotorului
Calculam caderea de tensiune pe coloana in regim normal si la pornirea motorului
Verificarea sectiunii coloanei la curentul maxim de durata
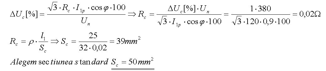
Calculam sectiunea circuitului motorului din conditia caderii de tensiune in regim permanent
Verificam sectiunea la densitatea de curent la pornirea motorului
Verificam caderea de tensiune in regim permanent pe circuitul motorului
Verificam caderea de tensiune la pornirea motorului
Verificam sectiunea la incalzirea conductoarelor in regim permanent
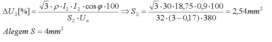
Calculam sectiunea circuitului lampilor din conditia caderii de tensiune in regim permanent
Verificam sectiunea la incalzirea conductoarelor in regim permanent
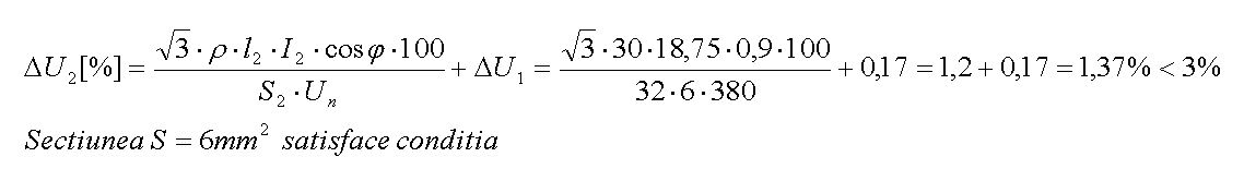
Rezultat final
Scoloana = 50 mm2
Smotor = 6 mm2
Slampi = 2,5 mm2
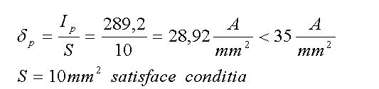
- Ce secţiune este necesară pentru conductoarele unui circuit electric trifazat din cupru, montat în tub, în lungime de 50 m, care va alimenta un electromotor de 20 kw, 3 x 380 V, cos j = 0,7; h = 0,9, care admite la pornire o scădere a tensiunii de maximum 12%. Electromotorul absoarbe la pornire un curent egal cu 6 In. Pierderea de tensiune (de durată) admisă în circuit la plină sarcină va fi de 3%, iar gCu = 57.
Conform tabelelor pentru trei conductoare de cupru cu secţiunea de 6 mm2 montate în tub, încărcarea maximă de durată este 42 A, iar densitatea admisibilă de curent la pornirea electromotoarelor pentru conductoarele de Cu este mai mică de 35 A/mm2.
Observam ca In = 48,2 A > 42 A (incarcarea maxima a conductorului cu S = 6 mm2)
Alegem o sectiune superioara
S = 10 mm2
Verificam sectiunea la incarcarea maxima in regim permanent
Verificam sectiunea la caderea de tensiune in regim permanent
Verificam sectiunea la caderea de tensiune la pornirea motorului
Verificam sectiunea la densitatea de curent la pornirea motorului

